The non-conservation principle (NCP) of life is directly responsible for the process of natural selection. We know that groups of organisms differ in their birth and death rates due to differences in the function of various forms of genes called alleles. This is generally what is meant by fitness. If Yp is the number of organisms with the p allele of a particular gene, and Yq is the number of organisms in a population with the q allele, then we have Eq 1:


where dBp/dT is the birth rate for those with the p allele, and dDp/dT is the corresponding death rate. If we assume that either birth or death rates for both populations with different alleles are different, then
Eq 2
or vice versa. That is the definition of natural selection, where the strength of selection, S, is a function of the difference in population numbers containing the two alleles. This also stands for one definition of relative fitness, W. Eq 3:

This follows the standard neo-Darwinian approach of assuming all evolutionary change is directly related to allele frequency differences in populations. However, to stay in keeping with more recent concepts in evolutionary theory, one could easily substitute any inheritable characteristic, such as epigenetic marks or alterations in gene expression regulation.
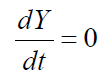
Note that if biological organisms obeyed a conservation law, such that

as is true for matter and energy (see previous post), then
Eq 4
and S would always be 0. The conclusion is that the NCP allows for and gives rise to evolution by natural selection.
There are other physical and chemical entities that can be said to be created (born) and destroyed, such as reaction products of a spontaneous chemical reaction, meteorological events like a hurricane or storm, geological events like volcanic eruption and island formation and loss, and all the cosmological events related to the birth and death of stars and planets. All these phenomena follow the law of conservation for matter and energy, (as does life) and for all of them there are rates of birth and death that determine the rate of change of the higher level of organization, whether that is a spiraling storm, the life of a star, or the half-life of an organic compound in an aqueous solution.
And yet, biology is different, and one of the most important differences is found in the nature of the alleles we called p and q. The existence of alleles implies a system of inheritance of characteristics that is not found in any other physical or chemical system. And it is the existence of genetic variation (alleles, or any other form of inherited genetic information) that makes natural selection (Eq 3) possible.
Sy, have you ever read any of Alan Turing’s works on mathematical biology? I was doing a little bit of research into his work today and came across some writings he did in the 50s on morphogenesis and Fibonacci phyllotaxis. Looked pretty interesting. I would love to hear your thoughts.
Thanks for this post. I’m digging this series; fascinating stuff.
Peace
No, I had no idea that Turing wrote anything about biology. I will have to check into that. So much to read…..